织密健康防线,守护校园平安 ——我校流感防控工作小结
织密健康防线,守护校园平安
——我校流感防控工作小结
进入秋冬季后,流感高发,为筑牢校园健康防护网,保障全体师生身体健康及教学秩序平稳,我校多维度开展流感防控工作,落实落细各项举措,为校园撑起“健康保护伞”。
一、宣传先行,筑牢防控意识防线
1.拓宽宣传阵地,利用线上线下多种渠道,循环推送流感防控科普内容,实现宣传无死角,让师生、家长全面了解防控知识。
2.聚焦学生群体,通过班会、晨会专题教育,以多种生动形式普及流感知识及防护技能,引导学生牢记并践行健康防护要求。
3.强化教职工培训,解读防控指引及预案,明确岗位职责,提升防控意识和应急处置能力,发挥示范引领作用。
二、清洁护航,打造卫生安全校园
1.开展常态化大扫除,每周组织学生清理卫生死角,规范清扫标准,打造整洁有序的学习工作环境。
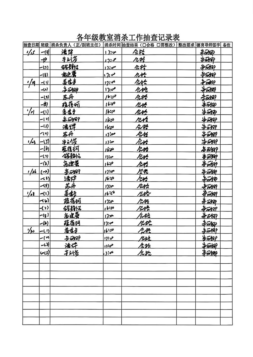
2.落实科学化消杀,正副班主任每日轮流对公共区域及高频接触部位进行规范消杀,做好记录,阻断病毒传播路径。
3.强化通风管理,要求各班级、办公室每日按时开窗通风,必要时借助设备辅助消毒,保障室内空气流通。
三、细致提醒,搭建家校沟通桥梁
1.定期推送健康提醒,每周五通过班级群告知家长居家防控要点,引导孩子规避聚集性风险。
2.细化居家防护指引,督促家长做好孩子日常防护,保障孩子规律作息、均衡饮食、适度运动,增强抵抗力。
3.畅通家校沟通,及时回应家长诉求,提醒家长如实上报孩子健康状况,形成家校协同防控合力。
四、严格监测,守护师生健康底线
1.落实晨午检制度,班主任每日细致排查学生健康状况并上报学校,做到早发现、早报告、早干预。
2.强化缺勤追踪,严格落实因病缺勤登记制度,精准核实缺勤原因及康复进度,严防带病返校。
3.严格执行复课标准,明确学生康复返校要求,凭相关证明返校,守住健康安全关卡。
在全体师生和家长的共同努力下,我校流感防控成效显著,教学秩序井然。未来,我校将持续紧绷防护弦,优化防控举措,为师生打造安全健康的校园环境。

用户登录